Sebuah roda sepeda images are ready. Sebuah roda sepeda are a topic that is being searched for and liked by netizens now. You can Find and Download the Sebuah roda sepeda files here. Get all free images.
If you’re searching for sebuah roda sepeda images information related to the sebuah roda sepeda interest, you have come to the ideal blog. Our website always gives you hints for downloading the highest quality video and image content, please kindly hunt and locate more enlightening video articles and images that match your interests.
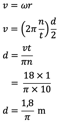
Sebuah Roda Sepeda.
Mengganti Ukuran Roda Sepeda 700c Dan 650b Sepeda Me From sepeda.me
Source: brainly.co.id
Source: masdayat.net
Source: brainly.co.id
Source: review.bukalapak.com
Source: studyassistant-id.com
Source: brainly.co.id
Source: sepeda.me
Source: masdayat.net
Source: serbasepeda.com
Source: brainly.co.id
Source: brainly.co.id
This site is an open community for users to submit their favorite wallpapers on the internet, all images or pictures in this website are for personal wallpaper use only, it is stricly prohibited to use this wallpaper for commercial purposes, if you are the author and find this image is shared without your permission, please kindly raise a DMCA report to Us.
If you find this site beneficial, please support us by sharing this posts to your preference social media accounts like Facebook, Instagram and so on or you can also bookmark this blog page with the title sebuah roda sepeda by using Ctrl + D for devices a laptop with a Windows operating system or Command + D for laptops with an Apple operating system. If you use a smartphone, you can also use the drawer menu of the browser you are using. Whether it’s a Windows, Mac, iOS or Android operating system, you will still be able to bookmark this website.





